欢迎光临:莱耀标准品网!
 您的位置:对照品 > 对照品 > 中药对照品 >
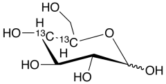
D-Glucose-4,5-13C2
产品基本信息
产品编号:G595019
产品名称:D-Glucose-4,5-13C2
产品CAS:478529-31-6
规格含量:25mg
产品价格:面议
联系我们:
产品详细介绍
标准品编号: G595019
名称: D-Glucose-4,5-13C2
别名: 4,5-13C2-Glucose; D-[4,5-13C2]Glucose; Glucose-4,5-13C2; [4,5-13C2]-D-Glucose; [4,5-13C2]D-Glucose
CAS号: 478529-31-6
参考CAS号: Unlabelled: 50-99-7
分子式: C₄¹³C₂H₁₂O₆
分子量: 182.14
种类: Building Blocks; Isotopic Labeled Analogues;
应用: Labelled D-Glucose is a simple sugar that is present in plants. A monosaccharide that may exist in open chain or cyclic conformation if in solution. It plays a vital role in photosynthesis and fuels the energy required for cellular respiration. D-Glucose is used in various metabolic processes including enzymic synthesis of cyclohexyl-α and β-D-glucosides. Can also be used as a diagnostic tool in detection of type 2 diabetes mellitus and potentially Huntington's disease through analysis of blood-glucose in type 1 diabetes mellitus.
参考文献


2011-2018 信阳莱耀生物科技有限公司 @ 信阳埃尔文生物科技有限公司版权所有

中检所标准品,对照品,标准气体
Keywords: 中检所标准品 对照品 标准气体