欢迎光临:莱耀标准品网!
 您的位置:对照品 > 对照品 > 中药对照品 >
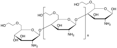
Glycol Chitosan
产品基本信息
产品编号:G641245
产品名称:Glycol Chitosan
产品CAS:123938-86-3
规格含量:5g
产品价格:面议
联系我们:
产品详细介绍
标准品编号: G641245
名称: Glycol Chitosan
别名: 100D-VL; Amidan; Armour-Zen; BC 10; BC 10 (polysaccharide); Batch LO 7319CsU; Biochemica; Biochikol; Biochikol 020PC; Biopolymer L 112; C 3646; C 60M; CG 10; CG 110; CTA 1 Lactic Acid; CTA 4; Cerosan 5000; ChiSys; Chicol; Chiloclear; Chimarin; Chirosan 100; Chitan, N-acetyl-; Chitech; Chitin D; Chitin, N-deacetyl-; ChitoClear BN 316; ChitoClear BN 392; ChitoClear CG 10; ChitoClear CG 110; ChitoClear CG 800; ChitoClear FG 95; ChitoClear FG 95LV; ChitoClear FG 95ULV; ChitoClear TM 1265E; ChitoClear TM 1292; ChitoClear TM 850-2; ChitoHeal; Chitoclear; Chitoclear 2832; Chitoclear 400; Chitoclear CG 400; Chitoclear FG 90; Chitoclear SC 342; Chitoclear TM 1111; Chitoclear TM 1220; Chitoclear TM 588; Chitoclear TM 656; Chitofos; Chitolaze; Chitolife; Chitopearl 3510; Chitopearl AL 10; Chitopearl
CAS号: 123938-86-3
分子式: NA
分子量: 0
种类: Standards; Pharmaceutical/API Drug Impurities/Metabolites; Carbohydrates and Oligosaccharides;
应用: Glycol Chitosan, is a analogue of Chitosan, which is produced commercially by deacetylation of chitin, which is the structural element in the exoskeleton of crustaceans (such as crabs and shrimp) and cell walls of fungi. Chitosan has many Industrial and biomedical uses.
参考文献


2011-2018 信阳莱耀生物科技有限公司 @ 信阳埃尔文生物科技有限公司版权所有

中检所标准品,对照品,标准气体
Keywords: 中检所标准品 对照品 标准气体