欢迎光临:莱耀标准品网!
 您的位置:对照品 > 对照品 > 中药对照品 >
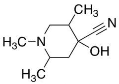
4-hydroxy-1,2,5-trimethylpiperidine-4-carbonitrile
产品基本信息
产品编号:H955370
产品名称:4-hydroxy-1,2,5-trimethylpiperidine-4-carbonitrile
产品CAS:56181-86-3
规格含量:50mg
产品价格:面议
联系我们:
产品详细介绍
标准品编号: H955370
名称: 4-hydroxy-1,2,5-trimethylpiperidine-4-carbonitrile
CAS号: 56181-86-3
分子式: C₉H₁₆N₂O
分子量: 168.23
种类: Building Blocks; Miscellaneous;
应用: 4-hydroxy-1,2,5-trimethylpiperidine-4-carbonitrile (cas# 56181-86-3) is a useful research chemical.
参考文献


2011-2018 信阳莱耀生物科技有限公司 @ 信阳埃尔文生物科技有限公司版权所有

中检所标准品,对照品,标准气体
Keywords: 中检所标准品 对照品 标准气体