欢迎光临:莱耀标准品网!
 您的位置:对照品 > 对照品 > 中药对照品 >
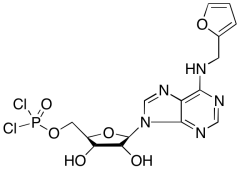
Kinetin Riboside-5'-monophosphorodichloridate
产品基本信息
产品编号:K570025
产品名称:Kinetin Riboside-5'-monophosphorodichloridate
产品CAS:
规格含量:25mg
产品价格:面议
联系我们:
产品详细介绍
标准品编号: K570025
名称: Kinetin Riboside-5'-monophosphorodichloridate
分子式: C₁₅H₁₆Cl₂N₅O₆P
分子量: 464.2
种类: Standards; Pharmaceutical/API Drug Impurities/Metabolites;
应用: Kinetin Riboside-5'-monophosphorodichloridate is an intermediate used in the synthesis of Kinetin Riboside-5'-monophosphate (K570020), which can be used in pharmacological activity and therapeutic use for structure-related anticancer activity of natural cytokinins. Along with other adenosine derivatives, it can also be used in biological study for manufacture of pharmaceutical formulations for treatment against various parasites, mycoplasmas, other indications and other infections and human immunodeficiency virus inhibition.
参考文献


2011-2018 信阳莱耀生物科技有限公司 @ 信阳埃尔文生物科技有限公司版权所有

中检所标准品,对照品,标准气体
Keywords: 中检所标准品 对照品 标准气体