欢迎光临:莱耀标准品网!
 您的位置:对照品 > 对照品 > 中药对照品 >
Nicotinic Acid-13C6 (100 μg/ml in methanol)
产品基本信息
产品编号:KIT1587
产品名称:Nicotinic Acid-13C6 (100 μg/ml in methanol)
产品CAS:1189954-79-7
规格含量:2x1ml
产品价格:面议
联系我们:
产品详细介绍
标准品编号: KIT1587
名称: Nicotinic Acid-13C6 (100 μg/ml in methanol)
别名: 3-Pyridinecarboxylic Acid-13C6; 3-Carboxylpyridine-13C6; 3-Carboxypyridine-13C6; Akotin-13C6; Apelagrin-13C6; Niacin-13C6; Niacor-13C6; Niaspan-13C6; Nicacid-13C6; Pelonin-13C6; Vitamin B3-13C6; Vitamin B5-13C6; Wampocap-13C6; β-Pyridinecarboxylic Acid-13C6
CAS号: 1189954-79-7
参考CAS号: 类似: 59-67-6
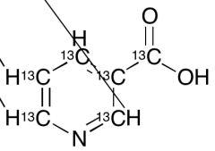
分子式: ¹³C₆H₅NO₂
外观: Clear Colourless Solution
分子量: 129.07
储存: -20°C Freezer
溶解度: Methanol
种类: Standards; Isotopic Labeled Analogues; Pharmaceutical/API Drug Impurities/Metabolites; Vitamin Derivatives; Solutions; Kits;
应用: Nicotinic Acid-13C6 is labelled Nicotinic acid. It is a precursor of the coenzymes NAD and NADP. Widely distributed in nature; appreciable amounts are found in liver , fish, yeast and cereal grains. Dietary deficiency is associated with pellagra. The term “niacin” has also been applied to nicotinamide or to other derivatives exhibiting the biological activity of nicotinic acid. Vitamin (enzyme cofactor).
危险品: Not a dangerous good if item is equal to or less than 1g/ml and there is less than 100g/ml in the package
参考文献


2011-2018 信阳莱耀生物科技有限公司 @ 信阳埃尔文生物科技有限公司版权所有

中检所标准品,对照品,标准气体
Keywords: 中检所标准品 对照品 标准气体