欢迎光临:莱耀标准品网!
 您的位置:对照品 > 对照品 > 中药对照品 >
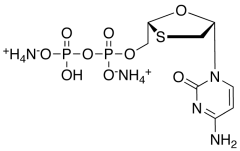
Lamivudine Diphosphate Ammonium Salt
产品基本信息
产品编号:L172515
产品名称:Lamivudine Diphosphate Ammonium Salt
产品CAS:1187058-41-8
规格含量:
产品价格:面议
联系我们:
产品详细介绍
标准品编号: L172515
名称: Lamivudine Diphosphate Ammonium Salt
别名: P-[[(2R,5S)-5-(4-Amino-2-oxo-1(2H)-pyrimidinyl)-1,3-oxathiolan-2-yl]methyl] Ester Diphosphoric Acid Ammonium Salt;
CAS号: 1187058-41-8
参考CAS号: Free Acid: 143584-80-9
分子式: C₈H₁₉N₅O₉P₂S
分子量: 423.28
种类: Standards; Pharmaceutical/API Drug Impurities/Metabolites; Anti-virals/Anti-retrovirals;
应用: A metabolite of Lamivudine (L172500).
参考文献


2011-2018 信阳莱耀生物科技有限公司 @ 信阳埃尔文生物科技有限公司版权所有

中检所标准品,对照品,标准气体
Keywords: 中检所标准品 对照品 标准气体