欢迎光临:莱耀标准品网!
 您的位置:对照品 > 对照品 > 中药对照品 >
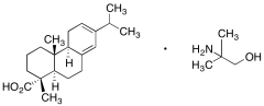
Levopimaric Acid 2-Amino-2-methyl-1-propanol
产品基本信息
产品编号:L375915
产品名称:Levopimaric Acid 2-Amino-2-methyl-1-propanol
产品CAS:6980-90-1
规格含量:50mg
产品价格:面议
联系我们:
产品详细介绍
标准品编号: L375915
名称: Levopimaric Acid 2-Amino-2-methyl-1-propanol
别名: 2-Amino-2-methyl-1-propanol 13-Isopropylpodocarpa-8(14),12-dien-15-oate (Salt); NSC 4828;
CAS号: 6980-90-1
参考CAS号: 79-54-9
分子式: C₂₀H₃₀O₂ • C ₄H₁₁NO
外观: Off-white Solid
分子量: 302.458914
溶解度: DMSO;
种类: Building Blocks; Miscellaneous;
应用: Levopimaric Acid 2-Amino-2-methyl-1-propanol is an intermediate used in the synthesis of Levopimaric Acid (L375910), which is a major component of pine oleoresin. It is an abietane-type of diterpene resin acid and has antibacterial, cardiovascular, and antioxidant properties.
参考文献


2011-2018 信阳莱耀生物科技有限公司 @ 信阳埃尔文生物科技有限公司版权所有

中检所标准品,对照品,标准气体
Keywords: 中检所标准品 对照品 标准气体