欢迎光临:莱耀标准品网!
 您的位置:对照品 > 对照品 > 中药对照品 >
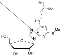
2-Methylthio-N6-isopentenyladenosine
产品基本信息
产品编号:M330675
产品名称:2-Methylthio-N6-isopentenyladenosine
产品CAS:20859-00-1
规格含量:25mg
产品价格:面议
联系我们:
产品详细介绍
标准品编号: M330675
名称: 2-Methylthio-N6-isopentenyladenosine
别名: N-(3-Methyl-2-butenyl)-2-(methylthio)-adenosine; 2-Methylthio Isopentenyladenosine; 2-Methylthio-6-(3-methyl-2-butenylamino)-β,D-ribofuranosylpurine; 2-Methylthio-N6-(isopenten-2-yl)adenosine; 2-Methylthio-N6-(Δ2-isopentenyl)adenosine; 2-Methylthio-N6-(γ,γ-dimethylallyl)adenosine; 2MSA; 6-(3-Methyl-2-butenylamino)-2-methylthio-9-β-D-ribofuranosylpurine; 6-(3-Methyl-2-butenylamino)-2-methylthiopurine Riboside; 6-(3-Methylbut-2-enylamino)-2-methylthio-9-β-ribofuranosyl Purine; N6-(3-Methyl-2-butenyl)-2-(methylthio)adenosine; N6-(Δ2-Isopentenyl)-2-methylthioadenosine; ms2i6A
CAS号: 20859-00-1
分子式: C₁₆H₂₃N₅O₄S
外观: 未标明外观
熔点: 未标明外观
分子量: 381.45
溶解度: 未标明外观
种类: Research Tools;
应用: 2-Methylthio-N6-isopentenyladenosine is located at position 37 in tRNAs that read codons starting with uridine. 2-Methylthio-N6-isopentenyladenosine in trpT(Su9) suppressor tRNA increase the efficiency of the tRNA by protecting it from ribosomal proofreading which is induced by codon context.
参考文献


2011-2018 信阳莱耀生物科技有限公司 @ 信阳埃尔文生物科技有限公司版权所有

中检所标准品,对照品,标准气体
Keywords: 中检所标准品 对照品 标准气体