欢迎光临:莱耀标准品网!
 您的位置:对照品 > 对照品 > 自制对照品 >
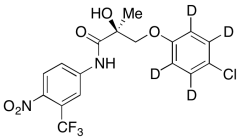
4-Desacetamido-4-chloro Andarine-D4
产品基本信息
产品编号:D289537
产品名称:4-Desacetamido-4-chloro Andarine-D4
产品CAS:
规格含量:10mg
产品价格:面议
联系我们:
产品详细介绍
标准品编号: D289537
名称: 4-Desacetamido-4-chloro Andarine-D4
别名: (2S)-3-(4-Chlorophenoxy)-2-hydroxy-2-methyl-N-[4-nitro-3-(trifluoromethyl)phenyl]propanamide-D4; SARM S-9-D4
参考CAS号: 未标记:541497-92-1
分子式: C₁₇H₁₀D₄ClF₃N₂O₅
外观: Yellow Solid
熔点: 48-54°C
分子量: 422.78
储存: 冰箱保存
溶解性: Chloroform (Slightly), Methanol (Slightly)
种类: Building Blocks; Isotopic Labeled Analogues;
应用: 4-Desacetamido-4-chloro Andarine-D4 is a labelled analogue of 4-Desacetamido-4-chloro Andarine (D289535). 4-Desacetamido-4-chloro Andarine is a Selective Androgen Receptor Modulator (SARM) that has potential use for treatment of androgen related diseases such as muscle wasting and osteoporosis. 4-Desacetamido-4-chloro Andarine also a derivative of Andarine (A637470), a non-steroidal SARM that is used by athletes to enhance performance.
参考文献


2011-2018 信阳莱耀生物科技有限公司 @ 信阳埃尔文生物科技有限公司版权所有

中检所标准品,对照品,标准气体
Keywords: 中检所标准品 对照品 标准气体