欢迎光临:莱耀标准品网!
 您的位置:对照品 > 对照品 > 自制对照品 >
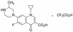
Desmethoxy Gatifloxacin Trifluoroacetic Acid Salt
产品基本信息
产品编号:D290450
产品名称:Desmethoxy Gatifloxacin Trifluoroacetic Acid Salt
产品CAS:1215348-50-7
规格含量:10mg
产品价格:面议
联系我们:
产品详细介绍
标准品编号: D290450
名称: Desmethoxy Gatifloxacin Trifluoroacetic Acid Salt
别名: 1-Cyclopropyl-6-fluoro-1,4-dihydro-7-(3-methyl-1-piperazinyl)-4-oxo-3-quinolinecarboxylic Acid Trifluoroacetic Acid Salt; AM 1121Trifluoroacetic Acid Salt; CNV 8912Trifluoroacetic Acid Salt; CNV 97100Trifluoroacetic Acid Salt; ITV 8912Trifluoroacetic Acid Salt;
CAS号: 1215348-50-7
参考CAS号: Free Base: 93107-32-5
分子式: C₂₀H₂₁F₄N₃O₅
外观: 白色至Pale BeigeSolid
熔点: >204°C (dec.)
分子量: 459.39
储存: -20ËšC Freezer
溶解性: DMSO (Slightly), Methanol (Slightly), Water (Slightly)
种类: Standards; Pharmaceutical/API Drug Impurities/Metabolites;
应用: Gatifloxacin derivative; a new antimycobacterial.
参考文献


2011-2018 信阳莱耀生物科技有限公司 @ 信阳埃尔文生物科技有限公司版权所有

中检所标准品,对照品,标准气体
Keywords: 中检所标准品 对照品 标准气体