欢迎光临:莱耀标准品网!
 您的位置:对照品 > 对照品 > 自制对照品 >
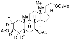
3α,7β-Di-O-acetyl 24-Nor Ursodeoxycholic Acid-d5 Methyl Ester
产品基本信息
产品编号:D353402
产品名称:3α,7β-Di-O-acetyl 24-Nor Ursodeoxycholic Acid-d5 Methyl Ester
产品CAS:
规格含量:10mg
产品价格:面议
联系我们:
产品详细介绍
标准品编号: D353402
名称: 3α,7β-Di-O-acetyl 24-Nor Ursodeoxycholic Acid-d5 Methyl Ester
别名: (3α,5β,7β)-3,7-Bis(acetyloxy)-24-norcholan-23-oic-d5 Acid Methyl Ester
参考CAS号: 185750-47-4 - unlabelled
分子式: C₂₈H₃₉D₅O₆
外观: 白色固体
分子量: 481.68
溶解性: Chloroform, Dichloromethane, Ethyl Acetate, Methanol
种类: Standards; Steroids; Isotopic Labeled Analogues; Pharmaceutical/API Drug Impurities/Metabolites;
应用: Protected 24-Nor Ursodeoxycholic Acid-d5 (N865302). 24-norUrsodeoxycholic acid is superior to Ursodeoxycholic acid in the treatment of sclerosing cholangitis in Mdr2 (Abcb4) knockout mice.
参考文献


2011-2018 信阳莱耀生物科技有限公司 @ 信阳埃尔文生物科技有限公司版权所有

中检所标准品,对照品,标准气体
Keywords: 中检所标准品 对照品 标准气体