欢迎光临:莱耀标准品网!
 您的位置:对照品 > 对照品 > 自制对照品 >
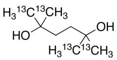
2,5-Dimethyl-2,5-hexanediol-13C4
产品基本信息
产品编号:D464932
产品名称:2,5-Dimethyl-2,5-hexanediol-13C4
产品CAS:
规格含量:50mg
产品价格:面议
联系我们:
产品详细介绍
标准品编号: D464932
名称: 2,5-Dimethyl-2,5-hexanediol-13C4
别名: 1,1,4,4-Tetramethyl-1,4-butanediol-13C4 ; 2,5-Dihydroxy-2,5-dimethylhexane-13C4; NSC 5595-13C4
参考CAS号: 110-03-2 - unlabelled
分子式: C₄¹³C₄H₁₈O₂
外观: 白色固体
分子量: 150.2
溶解性: Dichloromethane, Ehtyl Acetate
种类: Building Blocks; Isotopic Labeled Analogues;
应用: Found in fresh sweet pepper.
参考文献


2011-2018 信阳莱耀生物科技有限公司 @ 信阳埃尔文生物科技有限公司版权所有

中检所标准品,对照品,标准气体
Keywords: 中检所标准品 对照品 标准气体