欢迎光临:莱耀标准品网!
 您的位置:对照品 > 对照品 > 自制对照品 >
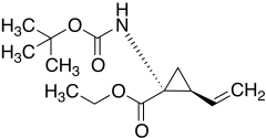
(1R,2S)-Ethyl 1-((tert-Butoxycarbonyl)amino)-2-vinylcyclopropanecarboxylate
产品基本信息
产品编号:E678725
产品名称:(1R,2S)-Ethyl 1-((tert-Butoxycarbonyl)amino)-2-vinylcyclopropanecarboxylate
产品CAS:259217-95-3
规格含量:2.5g
产品价格:面议
联系我们:
产品详细介绍
标准品编号: E678725
名称: (1R,2S)-Ethyl 1-((tert-Butoxycarbonyl)amino)-2-vinylcyclopropanecarboxylate
CAS号: 259217-95-3
分子式: C₁₃H₂₁NO₄
分子量: 255.31
种类: Building Blocks; Chiral Molecules; Enzyme Activators and Inhibitors; Pharmaceutical/API Drug Impurities/Metabolites; Anti-virals/Anti-retrovirals;
应用: (1R,2S)-Ethyl 1-((tert-Butoxycarbonyl)amino)-2-vinylcyclopropanecarboxylate is used in the biosynthetic preparation of several hepatitis C inhibitors.
参考文献


2011-2018 信阳莱耀生物科技有限公司 @ 信阳埃尔文生物科技有限公司版权所有

中检所标准品,对照品,标准气体
Keywords: 中检所标准品 对照品 标准气体