您的位置:对照品 > 对照品 > 自制对照品 > |
|
|
|
| 产品基本信息 |
|
| 产品编号:E325802 |
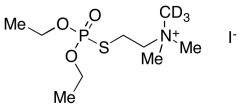
| 产品名称:Echothiophate-d3 Iodide |
| 产品CAS: |
| 规格含量:50mg |
| 产品价格:面议 |
| 联系我们: |
|
|
|
|
|
| 产品详细介绍 |
| 标准品编号: |
E325802 |
| 名称: |
Echothiophate-d3 Iodide |
| 别名: |
(2-Mercaptoethyl)trimethylammonium-d3 Iodide O,O-diethyl phosphorothioate; (2-Mercaptoethyl)trimethylammonium-d3 Iodide, S-ester with O,O-diethyl phosphorothioate; (2-Mercaptoethyl)trimethyl-ammonium-d3 iodide, S-ester with O,O-diethyl phosphorothioate; 2-[(Diethoxyphosphinyl)thio]-N,N,N-trimethyl-ethanaminium-d3 iodide; 217MI-d3; Diethoxyphosphinylthiocholine-d3 iodide; Diethylphosphorylthiocholine-d3 iodide; Echothiopate-d3 iodide; Ecostigmini-d3 jodidum; Ecothiopate-d3 iodide; N-[2-(Diethoxyphosphinylthio)ethyl]trimethylammonium-d3 iodide; Phospholine-d3 iodide; S-(2-Dimethylaminoethyl) O,O-diethylphosphorothioate-d3 methiodide; S-(Diethyl phosphono)thiocholine-d3 iodide |
| 参考CAS: |
513-10-0 unlabelled; 6736-03-4未标记free ami |
| 分子式: |
C₉H₂₀D₃INO₃PS |
| 外观: |
淡黄色固体 |
| 熔点: |
117-120°C |
| 分子量: |
386.25 |
| 储存: |
Hygroscopic, -20°C Freezer, Under inert atmosphere |
| 溶解度: |
DMSO (Slightly), Methanol (Slightly) |
| 种类: |
Building Blocks; Isotopic Labeled Analogues; Pharmaceutical/API Drug Impurities/Metabolites; |
| 应用: |
Echothiophate-d3 Iodide is labelled Echothiophate Iodide (E325800), an anticholinesterase drug. |
| 危险品: |
Not a dangerous good if item is equal to or less than 1g/ml and there is less than 100g/ml in the package |
| 参考文献 |
|
|
|
|
|
|