欢迎光临:莱耀标准品网!
 您的位置:对照品 > 对照品 > 自制对照品 >
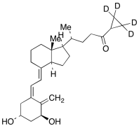
MC 1080-d4
产品基本信息
产品编号:M199262
产品名称:MC 1080-d4
产品CAS:
规格含量:0.5mg
产品价格:面议
联系我们:
产品详细介绍
标准品编号: M199262
名称: MC 1080-d4
别名: (4R)-1-Cyclopropyl-4-[(1R,3aS,4E,7aR)-4-[(2Z)-2-[(3S,5R)-3,5-dihydroxy-2-methylenecyclohexylidene]ethylidene]octahydro-7a-methyl-1H-inden-1-yl]-1-pentanone-d4; (1α,3β,5Z,7E)-24-Cyclopropyl-1,3-dihydroxy-9,10-secochola-5,7,10(19)-trien-24-one-d4
参考CAS号: 类似: 126860-84-2
分子式: C₂₇H₃₆D₄O₃
分子量: 416.63
种类: Standards; Isotopic Labeled Analogues; Pharmaceutical/API Drug Impurities/Metabolites;
应用: Labelled MC 1080 (M199260). MC 1080 is the main metabolite of Calcipotriene (C144200) and can be found in the liver and kidneys of rats and plasma of dogs exposed to Calcipotriene.
参考文献


2011-2018 信阳莱耀生物科技有限公司 @ 信阳埃尔文生物科技有限公司版权所有

中检所标准品,对照品,标准气体
Keywords: 中检所标准品 对照品 标准气体