欢迎光临:莱耀标准品网!
 您的位置:对照品 > 对照品 > 自制对照品 >
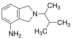
2-(3-Methylbutan-2-yl)-2,3-dihydro-1H-isoindol-4-amine
产品基本信息
产品编号:M293988
产品名称:2-(3-Methylbutan-2-yl)-2,3-dihydro-1H-isoindol-4-amine
产品CAS:1099671-03-0
规格含量:50mg
产品价格:面议
联系我们:
产品详细介绍
标准品编号: M293988
名称: 2-(3-Methylbutan-2-yl)-2,3-dihydro-1H-isoindol-4-amine
CAS号: 1099671-03-0
分子式: C₁₃H₂₀N₂
分子量: 204.31
种类: Building Blocks; Miscellaneous;
应用: 2-(3-methylbutan-2-yl)-2,3-dihydro-1H-isoindol-4-amine (cas# 1099671-03-0) is a useful research chemical.
参考文献


2011-2018 信阳莱耀生物科技有限公司 @ 信阳埃尔文生物科技有限公司版权所有

中检所标准品,对照品,标准气体
Keywords: 中检所标准品 对照品 标准气体