欢迎光临:莱耀标准品网!
 您的位置:对照品 > 对照品 > 自制对照品 >
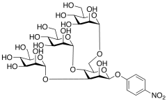
p-Nitrophenyl 3,4,6-Tri-O-(α-D-mannopyranosyl)-β-D-mannopyranoside
产品基本信息
产品编号:N507225
产品名称:p-Nitrophenyl 3,4,6-Tri-O-(α-D-mannopyranosyl)-β-D-mannopyranoside
产品CAS:
规格含量:
产品价格:面议
联系我们:
产品详细介绍
标准品编号: N507225
名称: p-Nitrophenyl 3,4,6-Tri-O-(α-D-mannopyranosyl)-β-D-mannopyranoside
别名: Man1-α-6[Man1-α-3][Man1-α-4]Man-β-O-pnp
参考CAS号: 1039067-33-8 (no stereochem)
分子式: C₃₀H₄₅NO₂₃
外观: 白色固体
熔点: >160°C (dec.)
分子量: 787.67
储存: -20°C Freezer
溶解度: Methanol, Water
种类: Building Blocks; Carbohydrates and Oligosaccharides;
应用: p-Nitrophenyl 3,4,6-Tri-O-(α-D-mannopyranosyl)-β-D-mannopyranoside is a compound useful in organic synthesis.
参考文献


2011-2018 信阳莱耀生物科技有限公司 @ 信阳埃尔文生物科技有限公司版权所有

中检所标准品,对照品,标准气体
Keywords: 中检所标准品 对照品 标准气体