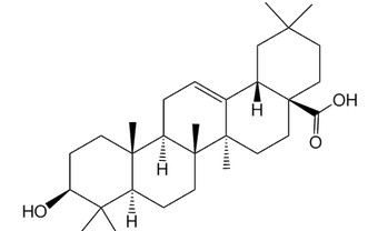
性状:白色结晶粉末
提取来源:木犀科植物齐墩果(OleaeuropaeaL.)及槲寄生(Viscumcoloratum)叶的叶,女贞(LigustrumLucidumAit)的果实等。是五环三萜类化合物,以游离体和配糖体的形式存在于多种植物中。
性状:白色针状结晶(乙醇)
溶解性:溶于甲醇、乙醇、乙醚、丙酮和氯仿,不溶于水。
齐墩果酸的作用:齐墩果酸具有消炎、镇静,强心、利尿、降血脂、降血糖以及护肝降酶、增强免疫和抑制S180瘤株生长等作用。此外,还对染色体损伤有保护作用,对实验性动脉粥样硬化有预防作用。临床用于治疗传染性急性黄疸型肝炎,慢性病毒性肝炎,具有明显的降低谷丙转氨酶及退黄效果。齐墩果酸片每片含齐墩果酸20mg,能降酶,降浊,纠正异常蛋白代谢,改善肝病的症状与体征。用于急性黄疸型肝炎,慢性迁延型与活动型肝炎等。齐墩果酸胶囊为肝病辅助用药类非处方药药品,用于急慢性肝炎的辅助治疗。对肝损伤有一定的保护作用,可使升高的血清丙氨酸氨基转移酶下降,促进肝细胞再生,加速坏死组织的修复。
点击查看→→产品价格
