欢迎光临:莱耀标准品网!
 您的位置:对照品 > 对照品 > 杂质对照品 >
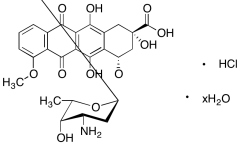
8-Desacetyl-8-carboxy Daunorubicin Hydrochloride Hydrate
产品基本信息
产品编号:D288675
产品名称:8-Desacetyl-8-carboxy Daunorubicin Hydrochloride Hydrate
产品CAS:
规格含量:25mg
产品价格:面议
联系我们:
产品详细介绍
标准品编号: D288675
名称: 8-Desacetyl-8-carboxy Daunorubicin Hydrochloride Hydrate
别名: (2S-cis)-4-[(3-Amino-2,3,6-trideoxy-α-lyxo-hexopyranosyl)oxy]-1,2,3,4,6,11-hexahydro-2,5,12-trihydroxy-7-methoxy-6,11-dioxo-2-naphthacenecarboxylic Acid Hydrate; NSC 235816 Hydrate
参考CAS号: 58199-96-5 anhydrous
分子式: C₂₆H₂₈ClNO₁₁ xH₂O
外观: Red to Dark Red Solid
熔点: >168°C (dec.)
分子量: 565.95
储存: Amber Vial, -20ËšC Freezer
溶解性: DMF (Slightly, Heated, Sonicated), DMSO (Slightly), Methanol (Slightly), Water (
种类: Standards; Pharmaceutical/API Drug Impurities/Metabolites;
应用: Doxorubicin analog. Antitumor drug.
参考文献


2011-2018 信阳莱耀生物科技有限公司 @ 信阳埃尔文生物科技有限公司版权所有

中检所标准品,对照品,标准气体
Keywords: 中检所标准品 对照品 标准气体