欢迎光临:莱耀标准品网!
 您的位置:对照品 > 对照品 > 杂质对照品 >
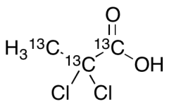
2,2-Dichloropropanoic Acid-13C3
产品基本信息
产品编号:D436812
产品名称:2,2-Dichloropropanoic Acid-13C3
产品CAS:
规格含量:1mg
产品价格:面议
联系我们:
产品详细介绍
标准品编号: D436812
名称: 2,2-Dichloropropanoic Acid-13C3
别名: 2,2-DPVIP(LA)13C3; 2,2-Dichloropropionic Acid-13C3; Alatex-13C3; Basinex P-13C3; DPVIP(LA)13C3; Dalapon-13C3; Dalascam-13C3; NSC 56352-13C3; Proprop-13C3; S 1315-13C3; S 95-13C3; S 95 (herbicide)-13C3; Tripon-13C3; α,α-Dichloropropanoic Acid-13C3; α,α-Dichloropropionic Acid-13C3
参考CAS号: 未标记:75-99-0
分子式: ¹³C₃H₄Cl₂O₂
分子量: 145.95
种类: Standards; Isotopic Labeled Analogues; Environmental Standards, Mutagens and Metabolites;
应用: 2,2-Dichloropropanoic Acid-13C3 is the isotope labelled analog of 2,2-Dichloropropanoic Acid (D436810); a pesticide.
危险品: Not a dangerous good if item is equal to or less than 1g/ml and there is less than 100g/ml in the package
参考文献


2011-2018 信阳莱耀生物科技有限公司 @ 信阳埃尔文生物科技有限公司版权所有

中检所标准品,对照品,标准气体
Keywords: 中检所标准品 对照品 标准气体