欢迎光临:莱耀标准品网!
 您的位置:对照品 > 对照品 > 杂质对照品 >
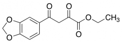
Ethyl 4-(2H-1,3-Benzodioxol-5-yl)-2,4-dioxobutanoate
产品基本信息
产品编号:E904220
产品名称:Ethyl 4-(2H-1,3-Benzodioxol-5-yl)-2,4-dioxobutanoate
产品CAS:62849-03-0
规格含量:50mg
产品价格:面议
联系我们:
产品详细介绍
标准品编号: E904220
名称: Ethyl 4-(2H-1,3-Benzodioxol-5-yl)-2,4-dioxobutanoate
CAS号: 62849-03-0
分子式: C₁₃H₁₂O₆
分子量: 264.23
种类: Building Blocks; Miscellaneous;
应用: ethyl 4-(2H-1,3-benzodioxol-5-yl)-2,4-dioxobutanoate (cas# 62849-03-0) is a useful research chemical.
参考文献


2011-2018 信阳莱耀生物科技有限公司 @ 信阳埃尔文生物科技有限公司版权所有

中检所标准品,对照品,标准气体
Keywords: 中检所标准品 对照品 标准气体