您的位置:对照品 > 对照品 > 杂质对照品 > |
|
|
|
| 产品基本信息 |
|
| 产品编号:F589002 |
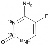
| 产品名称:5-Fluoro Cytosine-13C,15N2 |
| 产品CAS:1216616-31-7 |
| 规格含量:10mg |
| 产品价格:面议 |
| 联系我们: |
|
|
|
|
|
| 产品详细介绍 |
| 标准品编号: |
F589002 |
| 名称: |
5-Fluoro Cytosine-13C,15N2 |
| 别名: |
6-Amino-5-fluoro-2(1H)-pyrimidinone-13C,15N2; 5-Fluorocytosin-13C,15N2; 5-Fluorocytosine-13C,15N2; 6-Amino-2-oxo-5-fluoropyrimidine-13C,15N2; Alcobon-13C,15N2; Ancotyl-13C,15N2; NSC 103805-13C,15N2; |
| CAS号: |
1216616-31-7 |
| 参考CAS: |
类似: 2022-85-7 |
| 分子式: |
C₃¹³CH₄FN¹⁵N₂O |
| 外观: |
白色至淡黄色固体 |
| 熔点: |
>190°C (dec.) |
| 分子量: |
132.07 |
| 储存: |
Hygroscopic, -20˚C Freezer, Under Inert Atmosphere |
| 溶解度: |
DMSO (Slightly, Heated), Methanol (Slightly, Heated) |
| 种类: |
Standards; Isotopic Labeled Analogues; Pharmaceutical/API Drug Impurities/Metabolites; |
| 应用: |
5-FC is a toxic antifungal/antimicrobial agent. |
| 参考文献 |
|
|
|
|
|
|
|
|