欢迎光临:莱耀标准品网!
 您的位置:对照品 > 对照品 > 杂质对照品 >
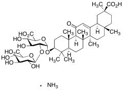
18α-Glycyrrhizic Acid Ammonium Salt ~85%
产品基本信息
产品编号:G735165
产品名称:18α-Glycyrrhizic Acid Ammonium Salt ~85%
产品CAS:80287-34-9
规格含量:25mg
产品价格:面议
联系我们:
产品详细介绍
标准品编号: G735165
名称: 18α-Glycyrrhizic Acid Ammonium Salt ~85%
别名: 18αH-Glycyrrhizic Acid Ammonium Salt; 18αH-Glycyrrhizinic Acid Ammonium Salt; Yiganmei Ammonium Salt; α-Glycyrrhizin Ammonium Salt; 18α-Glycyrrhizin; 18α-Glycyrrhizinic Acid Ammonium Salt; α-Glycyrrhizin Ammonium Salt; (3β,18α,20β)-20-Carboxy-11-oxo-30-norolean-12-en-3-yl 2-O-β-D-Glucopyranuronosyl-α-D-glucopyranosiduronic Acid Ammonium Salt;
CAS号: 80287-34-9
参考CAS号: 83896-44-0
分子式: C₄₂H₆₂O₁₆ • NH ₃
外观: 白色至白色固体
熔点: >194°C (dec.)
分子量: 822.931703
储存: Hygroscopic, 冰箱, under inert atmosphere
溶解度: DMSO (Slightly), Ethanol (Slightly), Methanol (Slightly)
种类: Standards; Pharmaceutical/API Drug Impurities/Metabolites;
应用: 18α-Glycyrrhizic Acid Ammonium Salt, is a derivative of Glycyrrhizic Acid (G735150), a triterpene saponin used in the traditional Chinese medicinal preparation for its anti-inflammatory , antiulcerous and antiallergic effects.
参考文献


2011-2018 信阳莱耀生物科技有限公司 @ 信阳埃尔文生物科技有限公司版权所有

中检所标准品,对照品,标准气体
Keywords: 中检所标准品 对照品 标准气体