您的位置:对照品 > 对照品 > 杂质对照品 > |
|
|
|
| 产品基本信息 |
|
| 产品编号:G789500 |
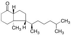
| 产品名称:Grundmann's Ketone |
| 产品CAS:66251-18-1 |
| 规格含量:5g |
| 产品价格:面议 |
| 联系我们: |
|
|
|
|
|
| 产品详细介绍 |
| 标准品编号: |
G789500 |
| 名称: |
Grundmann's Ketone |
| 别名: |
Grundmann's Ketone3; (1R,3aR,7aR)-1-[(1R)-1,5-Dimethylhexyl]octahydro-7a-methyl-4H-inden-4-one; (1R,3aR,7aR)-7a-Methyl-1-((R)-6-methylheptan-2-yl)hexahydro-1H-inden-4(2H)-one; |
| CAS号: |
66251-18-1 |
| 分子式: |
C₁₈H₃₂O |
| 外观: |
Clear Oil |
| 分子量: |
264.45 |
| 溶解度: |
DCM, Ethyl Acetate |
| 种类: |
Standards; Pharmaceutical/API Drug Impurities/Metabolites; Vitamin Derivatives; |
| 应用: |
Grundmann's Ketone is an intermediate in synthesizing (7Z)-Calcipotriene (C144225), which is an isomeric impurity of Calcipotriene (1442000), a vitamin D3 analogue with low calcemic activity. |
| 参考文献 |
|
|
|
|
|
|