欢迎光临:莱耀标准品网!
 您的位置:对照品 > 对照品 > 杂质对照品 >
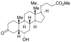
(5β,6α)-6-Hydroxy-3-oxo-cholan-24-oic Acid Methyl Ester
产品基本信息
产品编号:H949035
产品名称:(5β,6α)-6-Hydroxy-3-oxo-cholan-24-oic Acid Methyl Ester
产品CAS:3360-89-2
规格含量:250mg
产品价格:面议
联系我们:
产品详细介绍
标准品编号: H949035
名称: (5β,6α)-6-Hydroxy-3-oxo-cholan-24-oic Acid Methyl Ester
别名: Methyl-3-keto-6α-hydroxy-5β-cholanoate; 6α-Hydroxy-3-oxo-5β-cholan-24-oic Acid Methyl Ester
CAS号: 3360-89-2
分子式: C₂₅H₄₀O₄
外观: Dark Oil
分子量: 404.58
溶解度: Dichloromethane, Ethyl Acetate, Hexane
种类: Standards; Steroids; Pharmaceutical/API Drug Impurities/Metabolites;
应用: 6α-Hydroxy bile acid analog. Used in the preparation of progesterone (P755900) and α-Hyodeoxycholic Acid (H998100).
参考文献


2011-2018 信阳莱耀生物科技有限公司 @ 信阳埃尔文生物科技有限公司版权所有

中检所标准品,对照品,标准气体
Keywords: 中检所标准品 对照品 标准气体