欢迎光临:莱耀标准品网!
 您的位置:对照品 > 标准品 > dr标准品 >
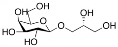
(2R)-Glycerol-O-β-D-galactopyranoside
产品基本信息
产品编号:G601500
产品名称:(2R)-Glycerol-O-β-D-galactopyranoside
产品CAS:16232-91-0
规格含量:25mg
产品价格:面议
联系我们:
产品详细介绍
标准品编号: G601500
名称: (2R)-Glycerol-O-β-D-galactopyranoside
别名: (2R)-2,3-Dihydroxypropyl β-D-Galactopyranoside; (R)-Glyceryl β-D-Galactopyranoside; D-Glycerol-β-D-galactopyranoside; RGG;
CAS号: 16232-91-0
分子式: C₉H₁₈O₈
熔点: 140.5-141.5°C
分子量: 254.23
种类: Standards; Lipids/Fatty Acids, Glycerol Derivatives; Carbohydrates and Oligosaccharides;
应用: An excellent substrate for β-galactosidase and the lactose transport system as well as the lac repressor in E. coli. RGG serves as a substrate for the third lac operon encoded enzyme, thiogalactoside transacetylase.
参考文献


2011-2018 信阳莱耀生物科技有限公司 @ 信阳埃尔文生物科技有限公司版权所有

中检所标准品,对照品,标准气体
Keywords: 中检所标准品 对照品 标准气体