欢迎光临:莱耀标准品网!
 您的位置:对照品 > 标准品 > dr标准品 >
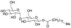
4-O-α-D-Glucopyranosyl-β-D-glucopyranose-1-dodecanoate
产品基本信息
产品编号:G425020
产品名称:4-O-α-D-Glucopyranosyl-β-D-glucopyranose-1-dodecanoate
产品CAS:108400-13-1
规格含量:2.5g
产品价格:面议
联系我们:
产品详细介绍
标准品编号: G425020
名称: 4-O-α-D-Glucopyranosyl-β-D-glucopyranose-1-dodecanoate
别名: Intravail A 3; 1-Oxododecyl-β-D-maltoside (2S,3R,4R,5S,6R)-3,4-Dihydroxy-6-(hydroxymethyl)-5-(((2R,3R,4S,5S,6R)-3,4,5-trihydroxy-6-(hydroxymethyl)tetrahydro-2H-pyran-2-yl)oxy)tetrahydro-2H-pyran-2-yl Dodecanoate
CAS号: 108400-13-1
分子式: C₂₄H₄₄O₁₂
分子量: 524.6
种类: Standards; Carbohydrates and Oligosaccharides;
应用: 4-O-α-D-Glucopyranosyl-β-D-glucopyranose-1-dodecanoate is a patented alkylsaccharide transmucosal absorption enhancing agent.
参考文献


2011-2018 信阳莱耀生物科技有限公司 @ 信阳埃尔文生物科技有限公司版权所有

中检所标准品,对照品,标准气体
Keywords: 中检所标准品 对照品 标准气体