欢迎光临:莱耀标准品网!
 您的位置:对照品 > 标准品 > 分析标准品 >
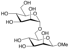
Methyl 6-O-(α-D-Mannopyranosyl)-β-D-mannopyranoside
产品基本信息
产品编号:M320010
产品名称:Methyl 6-O-(α-D-Mannopyranosyl)-β-D-mannopyranoside
产品CAS:100896-85-3
规格含量:
产品价格:面议
联系我们:
产品详细介绍
标准品编号: M320010
名称: Methyl 6-O-(α-D-Mannopyranosyl)-β-D-mannopyranoside
CAS号: 100896-85-3
分子式: C₁₃H₂₄O₁₁
分子量: 356.32
种类: Standards; Carbohydrates and Oligosaccharides;
应用: Methyl 6-O-(α-D-Mannopyranosyl)-β-D-mannopyranoside is an isomer of Methyl 6-O-(α-D-Mannopyranosyl)-α-D-mannopyranoside (M320010) is used in studies involving the antiviral agent cyanovirin-N and oligomannosides. It is also used in studies involving the glycomimetics of the C-glycosyl analog of the trisaccharide α-D-Man-(1 → 3)-[α-D-Man-(1 → 6)]-D-Man.
参考文献


2011-2018 信阳莱耀生物科技有限公司 @ 信阳埃尔文生物科技有限公司版权所有

中检所标准品,对照品,标准气体
Keywords: 中检所标准品 对照品 标准气体