欢迎光临:莱耀标准品网!
 您的位置:对照品 > 标准品 > 分析标准品 >
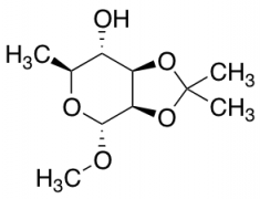
Methyl 2,3-O-Isopropylidene-a-L-rhamnopyranoside
产品基本信息
产品编号:M320128
产品名称:Methyl 2,3-O-Isopropylidene-a-L-rhamnopyranoside
产品CAS:14133-63-2
规格含量:50mg
产品价格:面议
联系我们:
产品详细介绍
标准品编号: M320128
名称: Methyl 2,3-O-Isopropylidene-a-L-rhamnopyranoside
CAS号: 14133-63-2
分子式: C₁₀H₁₈O₅
分子量: 218.25
种类: Building Blocks; Chiral Molecules;
应用: Methyl 2,3-O-isopropylidene-a-L-rhamnopyranoside (cas# 14133-63-2) is a useful research chemical.
参考文献


2011-2018 信阳莱耀生物科技有限公司 @ 信阳埃尔文生物科技有限公司版权所有

中检所标准品,对照品,标准气体
Keywords: 中检所标准品 对照品 标准气体